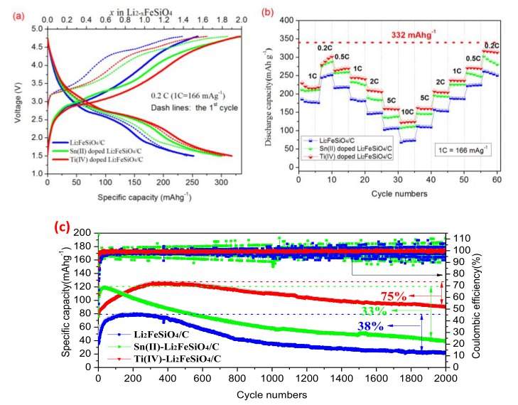
新材料在新型锂离子电池正极材料Li2FeSiO4领域取得重要进展
潘锋教授课题组和武汉理工大学材料复合新技术国家重点实验室木士春教授合作,在提高Li2FeSiO4正极材料稳定性及电化学性能上取得重要突破。
2016-02-24
新番 首次发现高容量可充放电的新型β相磷酸铁锂电
深圳研究生院新番 潘锋教授团队应用球磨技术第一次实现了β磷酸铁锂的激活。用球磨β-LiFePO4样品做正极材料组装的锂电池实现了130mA g-1的容量和1000次以上循环的的稳定充放电。
2015-12-09
北大新番 发现新型单双层二维材料及在锂电池中应用
新番 深圳研究生院新番 在潘锋教授的指导下,2014级直博生刘同超和博士后冯炎聪等人与团队的老师和同学合作,在学院前期研究基础上开展对LiFePO4新型方法的研究
2015-11-25
学院在敏化太阳能电池TiO2与染料界面研究取得进展
潘锋教授团队与香港城市大学Man Shing Wong教授团队、中科院化学所林原教授团队合作,通过第一性原理和实验发现,当染料分子吸附在TiO2的表面上以后,界面存在显著的电荷转移,而且这种电荷
2015-11-24
学院在原子层沉积表面修饰锂离子电池材料领域取得进展
在潘锋教授和王新炜特聘研究员的指导下,依托学院原子层沉积实验室,博士后苏彦涛与学院研究生以及美国劳伦斯伯克利国家实验室软X-射线站杨万里研究组积极合作,利用ALD技术沉积氧化铝
2015-11-24
新番 在Ga掺杂SnO2的染料敏化太阳能电池取得突破
在潘锋教授、林原研究员以及段彦栋、郑家新两位博士后的共同努力下,成功制备了一种新型的Ga掺杂SnO2中空球。不仅大大减少了原材料的用量,还可以增加染料的吸附量。微米结构的中
2015-11-24
新番 在氧化铁基电池-超级电容领域取得进展
新番 深圳研究生院新番 潘锋教授课题组和中国矿业大学庄全超教授课题组合作,研究了γ-Fe2O3在电化学锂化过程中的结构变化,发现具有优异锂电池-超级电容的复合性能 。
2015-11-23
北大新番 在锂电池Sn双掺杂硅酸亚铁锂材料取得进展
新番 2013级硕士研究生王凯,2014级硕士生滕高烽和博士后杨金龙在潘锋教授的指导下,首次采用两种不同价态的Sn(Sn(II) and Sn(IV))对Li2FeSiO4进行掺杂,并发现由于Sn(II)与Sn(IV)的位阻效应
2015-11-23
北大新番 在锂电池新型核壳型FeS2电极材料取得突破
在潘锋教授的指导下,2014级硕士生谭瑞、博士后杨金龙以及2015级博士生胡江涛积极合作,研发了核壳型氮掺杂石墨烯包裹二硫化铁复合电极材料(FeS2@N-G),获得了优越的电化学性能
2015-11-23
新番 在新型金属玻璃丝磁性材料及机理研究取得
潘锋教授研究组与化学与分子工程学院高松院士研究组合作,在此领域开展的新型金属玻璃丝磁性材料及相关机理研究,取得了重要的研究成果。
2015-11-18
深圳市南山区桃园街道南山智园二期D2栋4楼409室
Copyright © 新番作品库 | 全面收录热门H漫新番信息 Powered By its.xinfan1.com
ICP备案编号:粤ICP备12081285号
学院官方微信